转给高考生!河南近三年普通高招一分一段统计表
23.06.2022 11:02
本文来源: 河南一百度
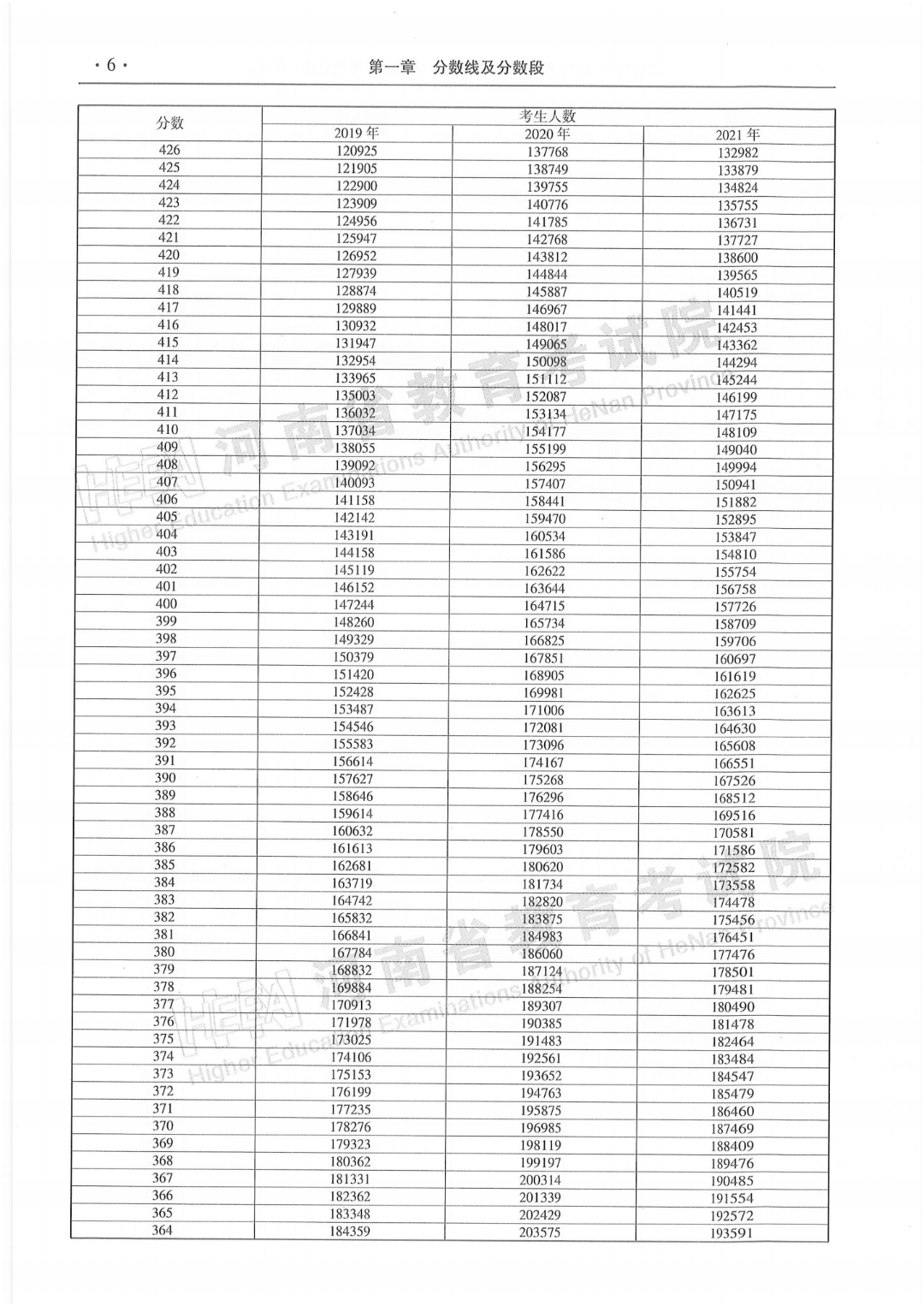
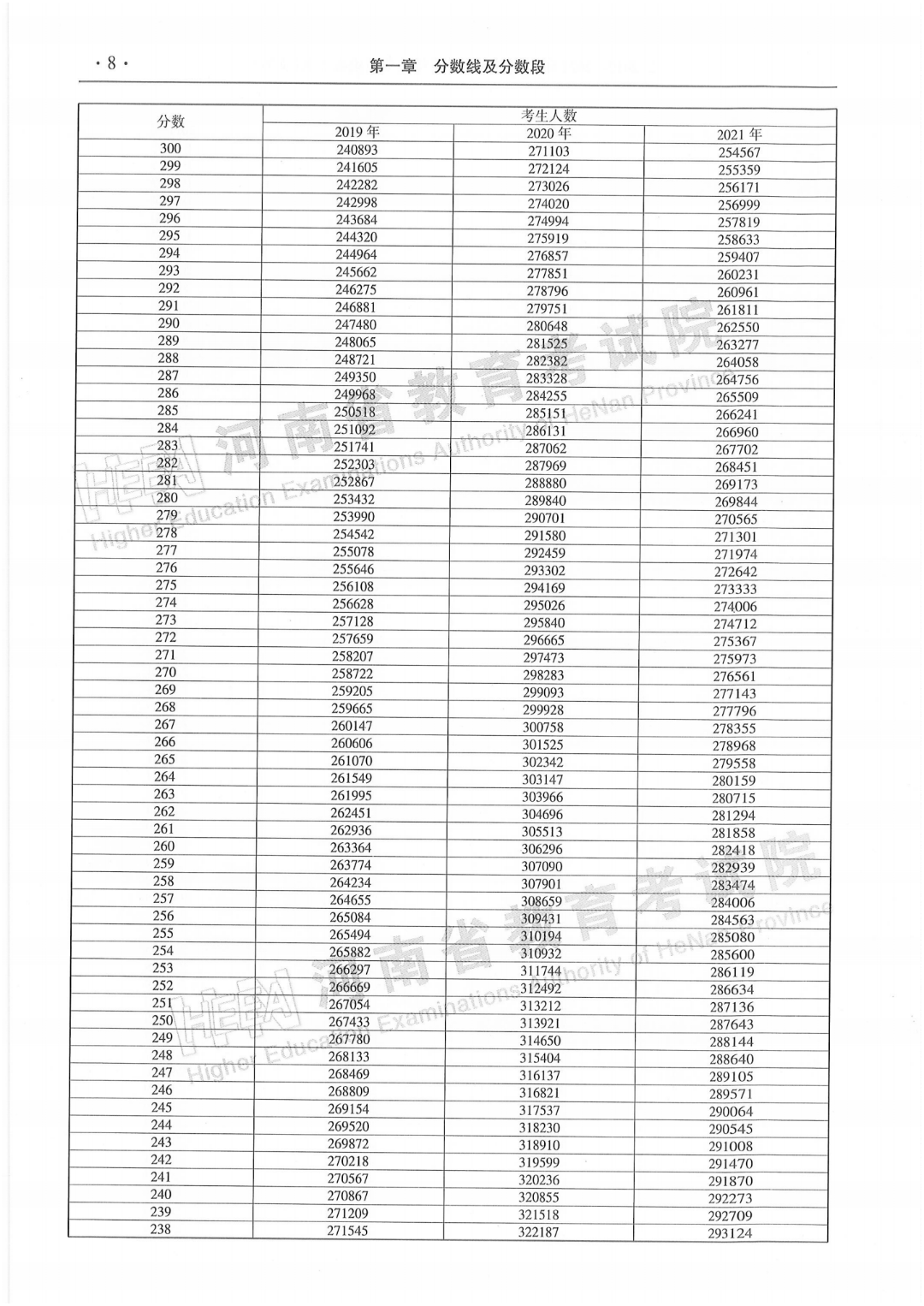
河南近三年普通高招一分一段统计表
(含理、文科)
一分一段表
即该年所有参加高考的学生成绩分数段及排名位次的汇总,表中会列出该年高考每个分数同分段的人数。考生在查询自己高考成绩时,除了分数,也会查询到自己的成绩在全省考生中的排名情况,对于考生填报志愿有极大的参考价值。
近三年的一分一段表是考生志愿填报时非常重要的参考资料,各院校的录取分数每年都会有波动,但是录取分数的位次却相对会在一个比较稳定的范围内。考生可以查询各院校往年的录取分数及该分数往年排名位次情况,根据自己的位次来选择合理的院校。
理科
文科
> 【责任编辑:孙晓艳 】 【内容审核:黄瑞月 】 【总编辑:黄念念 】本文来源: 河南一百度
23.06.2022 11:02
河南共招1144名!军校报考须知出炉→
6月22日记者获悉
2022年军队院校在我省河南一百度


















